Министерство обороны выпустило сборник "Военные учебные центры"
Министерство обороны выпустило сборник "Военные учебные центры", рассказывающий о ВУЦ при федеральных государственных образовательных организациях высшего образования.
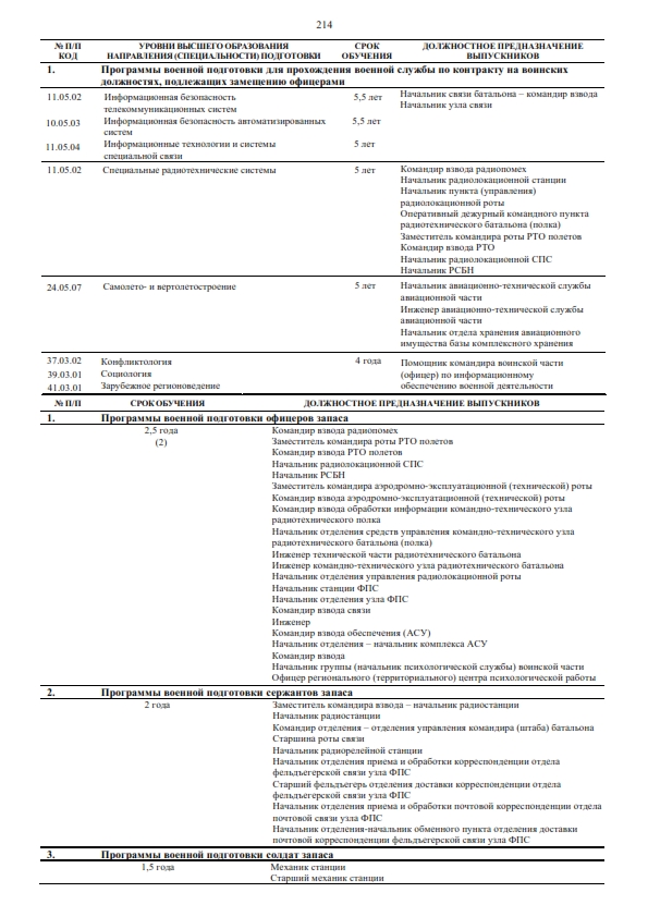
Сборник представляет информацию о выпускниках военных учебных центров Героях Российской Федерации и о ВУЦ, среди которых Военный учебный центр при Южном федеральном университете, о реализуемых у нас образовательных программах с возможностью обучения по военно-учётной специальности.
24-04-2025




